Discovery of a new transitional type of evolved massive stars with hard ionizing flux

Avatar
Poster
Voice is AI-generated
Connected to paperThis paper is a preprint and has not been certified by peer review

Discovery of a new transitional type of evolved massive stars with hard ionizing flux

Authors

Andreas A. C. Sander, Roel R. Lefever, Joris Josiek, Erin R. Higgins, Raphael Hirschi, Lidia M. Oskinova, Daniel Pauli, Max Pritzkuleit, John S. Gallagher, Wolf-Rainer Hamann, Ilya Mandel, Varsha Ramachandran, Tomer Shenar, Helge Todt, Jorick S. Vink

Abstract

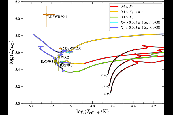
Wolf-Rayet (WR) stars are the evolved descendants of the most massive stars and show emission-line dominated spectra formed in their powerful stellar winds. Marking the final evolution stage before core collapse, the standard picture of WR stars has been that they evolve through three well-defined spectral subtypes known as WN, WC, and WO. Here, we present a detailed analysis of five objects that defy this scheme, demonstrating that WR stars can also evolve directly from the WN to the WO stage. Our study reveals that this direct transition is connected to low metallicity and weaker winds. The WN/WO stars and their immediate WN precursors are hot and emit a high flux of photons capable of fully ionizing helium. The existence of these stages unveil that high mass stars which manage to shed off their outer hydrogen layers in a low-metallicity environment can spend a considerable fraction of their lifetime in a stage that is difficult to detect in integrated stellar populations, but at the same time yields hard ionizing flux. The identification of the WN to WO evolution path for massive stars has significant implications for understanding the chemical enrichment and ionizing feedback in star-forming galaxies, in particular at earlier cosmic times.

Follow Us on

0 comments

Add comment