Differential photosynthetic response to phosphate starvation in C3 and C4 Flaveria species
Differential photosynthetic response to phosphate starvation in C3 and C4 Flaveria species
Krone, R.; Yarbrough, R.; Westhoff, P.; Gutbrod, K.; Doermann, P.; Kopriva, S.; Kirchhoff, H.
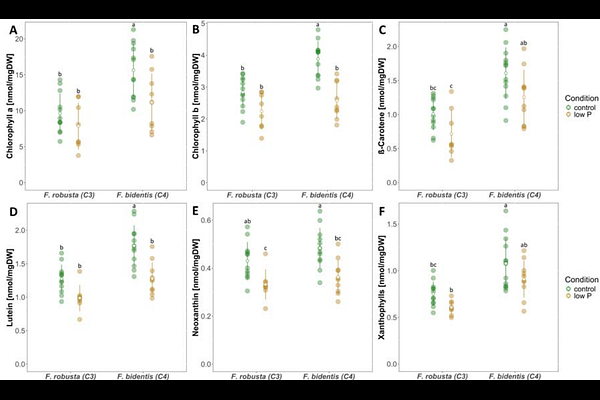
AbstractC4 photosynthesis is a CO2-concentration mechanism that separates CO2 fixation between two cell types, thereby reducing photorespiration and making C4 plants more efficient than their C3 counterparts. While the C4 cycle has evolved multiple times across different genera, this study evaluates very closely related C3 and C4 species within the genus Flaveria. Apart from their carbon metabolism, C4 plants also possess adaptations in their mineral nutrition. One key nutrient which is also directly involved in photosynthesis is phosphorus. It is absorbed by the plant in the form of inorganic phosphate and is an essential component of DNA, ATP, lipids, and carbohydrates. In the Flaveria C4 species, but not in the C3 species, phosphate limitation was shown to affect the dark reactions of photosynthesis. This study investigates how phosphate deficiency impacts the light reactions in C3 and C4 Flaveria plants. We observed a differential response in the functionality of photosynthetic energy conversion between the two species. When exposed to a limited phosphate supply, the C3 species reduced its linear electron transport rate while dissipating excess energy through high-energy quenching, which was regulated by a higher pH gradient across the thylakoid membrane. In contrast, the C4 species did not regulate its photosynthetic light reaction under phosphate limitation. Instead, it exhibited increased stress levels, evidenced by a stronger biomass reduction and the induction of stress markers in the leaves. Additionally, this study uncovered an acceleration in NPQ relaxation during phosphate limitation, regardless of the photosynthesis type.