Protracted development in children of perceptual segregation of competing talking faces in the multisensory cocktail party problem

Avatar
Poster
Voice is AI-generated
Connected to paperThis paper is a preprint and has not been certified by peer review

Protracted development in children of perceptual segregation of competing talking faces in the multisensory cocktail party problem

Authors

Steinfeld, K.; Murray, M. M.; Lewkowicz, D.

Abstract

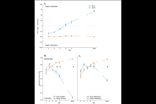
Successful communication with our social partners requires binding, integrating, and perceptually segregating the audible and visible attributes of the multiple talking faces that we often encounter in social situations, a challenge known as the multisensory cocktail party problem (MCPP). Although audiovisual (AV) temporal synchrony is a powerful cue for binding speech signals, how children develop the ability to use this cue to segregate a target talker remains unclear. Here, we examined the development of gaze dynamics supporting multisensory segregation in 3 to 7-year-old children (N = 149) and adults (N = 37) viewing four talking faces accompanied by a single auditory utterance synchronized with one of the faces (i.e., target). Using metrics of gaze dynamics based on information theory, namely proportion of total looking time, stationary entropy, transition entropy, and transition rates, we show that even though sensitivity to AV synchrony is present by 3 years of age, it is insufficient for efficient target segregation. It is not until 5-6 years of age, following a qualitative shift in dynamic gaze control and more structured distractor transitions, that target selection becomes more efficient, but still not as efficient as it is in adults. We interpret these developmental changes as reflecting a shift from early detection of multisensory cues to later-emerging strategies that organize visual sampling in relation to auditory information in a task-dependent manner. Together, they demonstrate that solving complex multisensory challenges depends on AV integration as well as on the development of dynamic gaze organization that supports efficient multisensory perceptual segregation over time.

Follow Us on

0 comments

Add comment