Factors shaping frugivory patterns of Asian mammals using a continental-scale dataset
Factors shaping frugivory patterns of Asian mammals using a continental-scale dataset
Basu, B.; McConkey, K. R.; Pulla, S.; Lim, J. Y.; Naniwadekar, R.; Datta, A.
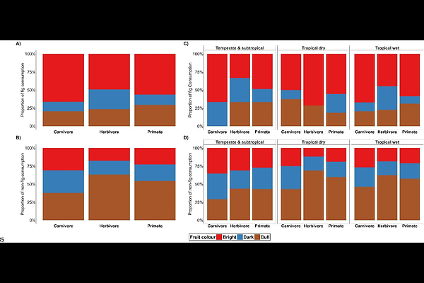
Abstract1. Frugivores vary in their selection of fruit traits and their fruit handling methods, leading to differences in the plant species they consume for fruits. While fruit consumption patterns of birds are relatively well understood, much less is known about those of mammals. 2. Given the wide morphological and physiological diversity of mammals, fruit consumption patterns and fruit traits selected by different mammal groups may vary substantially. 3. We investigated differences in fruit consumption among three mammal groups, primates, herbivores, and carnivores, in Asia based on peer-reviewed and secondary literature. We assessed both morphological traits and taxonomic composition and compared patterns across vegetation types and for figs and non-figs. We found that primates (29%) and carnivores (21%) consumed more unique fruit genera than herbivores (6%). Carnivores and primates shared more fruit genera with each other (17%) than with herbivores. These patterns were consistent across vegetation types and for figs and non-figs. 4. Morphological traits such as fruit size, colour, type, habit, seed number, and seed arillation showed no major differences among mammal groups. 5. There was no significant relationship between mammal body size and the mean or maximum fruit diameter consumed. However, among mammals that handle fruits exclusively with their mouthparts, body size was positively related to the maximum fruit diameter consumed. In contrast, for mammals that handle fruits using opposable thumbs (primates), body size showed a negative relationship with the mean fruit size consumed. There was no significant relationship between mammal activity patterns and the colour of the fruits they consumed. 6. Our results suggest that fruit consumption patterns among mammal groups are not strongly differentiated by the morphological traits investigated; however, carnivores and primates are more similar in their preferred fruit genera. Moreover, morphological trait selection may be influenced by fruit handling methods. 7. Herbivores consumed larger fruits and, like primates, preferred dull-coloured fruits, whereas carnivores more often fed on liana and shrub fruits across a wider colour range 8. Future research should focus on chemical and quantitative visual traits, such as volatile profiles and nutritional composition, to better understand the drivers of mammal fruit consumption.