Cost and benefits of gene amplification-mediated antibiotic resistance

Avatar
Poster
Voice is AI-generated
Connected to paperThis paper is a preprint and has not been certified by peer review

Cost and benefits of gene amplification-mediated antibiotic resistance

Authors

Fang, Y.; Kupke, J.; Steiner, U.; Tedin, K.; Fulde, M.

Abstract

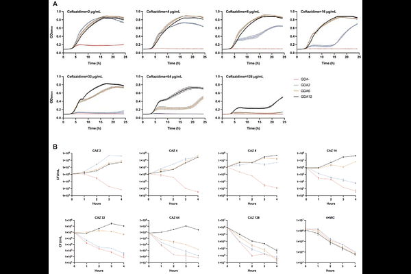
Bacteria evolve antibiotic resistance through various mechanisms, including horizontal gene transfer, sequence-altering mutations, and tandem duplications/amplifications in genomic regions that increase the dosage of resistance determinants. This phenomenon, known as gene duplication-amplification (GDA), is a transient and reversible genetic mechanism that allows bacteria to rapidly adapt to antibiotic stress. Due to the unstable nature of amplification, the quantitative relationship between gene copy number, resistance levels, and the associated physiological costs remains poorly defined. Here, we constructed strains with fixed GDA copy numbers in a clinical Enterobacter cloacae strain. Using growth curve and time-kill assays, we show that ceftazidime (CAZ) resistance scales with GDA copy number, but the benefit under selection comes with a growth cost in the absence of antibiotic. Notably, we find that while GDA provides a survival advantage under CAZ pressure, it simultaneously increases susceptibility to rapid killing at supra-MIC concentrations. Our analysis further illustrates that survival is jointly shaped by gene dosage, antibiotic concentration, and exposure time. Together, these results clarify that GDA-mediated resistance is highly context dependent, shaped by trade-offs between resistance benefits and physiological costs.

Follow Us on

0 comments

Add comment