An inhibitory circuit motif governs oscillation-dependent coupling between aperiodic activity and neural spiking

Avatar
Poster
Voice is AI-generated
Connected to paperThis paper is a preprint and has not been certified by peer review

An inhibitory circuit motif governs oscillation-dependent coupling between aperiodic activity and neural spiking

Authors

Helfrich, J. D.; Veit, J.; Helfrich, R. F.

Abstract

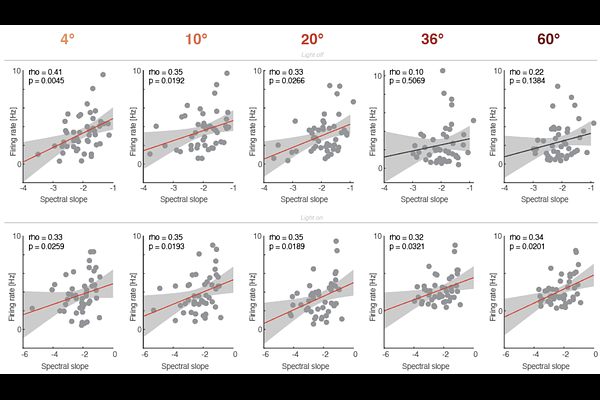
Behavior arises from coordinated neural population activity, yet how spiking and synaptic interactions give rise to extracellular population signals, including local field potentials (LFPs), remains unresolved. Beyond oscillations, aperiodic LFP activity has emerged as a putative marker of neural excitability, but its neurophysiological basis and relationship to neural spiking are unclear. Here we employed optogenetics and simultaneous single-unit and LFP recordings in mouse visual cortex to quantify how spiking relates to oscillatory and aperiodic dynamics across cortical states and behavioral contexts. To test circuit mechanisms, we optogenetically suppressed the activity of somatostatin (SST), vasoactive intestinal peptide (VIP), or parvalbumin (PV) interneurons to causally manipulate inhibitory drive, thereby dissociating spiking, aperiodic activity, and gamma oscillations. Across conditions, aperiodic activity tracked neural spiking in a manner consistent with computational predictions, but this coupling was strongly context- and state-dependent: high oscillatory synchrony attenuated the relationship between aperiodic activity and spiking. These results demonstrate that state-dependent changes in neural excitability shift circuit activity between oscillation- and aperiodic-dominated regimes, placing principled limits on interpreting neural mass signals at synaptic or cellular scales.

Follow Us on

0 comments

Add comment