Impact of rotation on the amplitude of acoustic modes in solar-like stars: Insights from hydrodynamical simulations
Impact of rotation on the amplitude of acoustic modes in solar-like stars: Insights from hydrodynamical simulations
Arthur Le Saux, Leïla Bessila, Stéphane Mathis
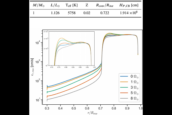
AbstractIn solar-like stars, acoustic modes provide the main way of probing their internal structure and dynamics. Although these modes are expected to be ubiquitous in stars with convective envelopes, Kepler observations reveal that a significant fraction of solar-like stars show no detectable acoustic modes, particularly among rapidly rotating and magnetically active stars. Recent theoretical work by Bessila et al. (2025) has proposed that rotation tends to inhibit convective motions, thereby reducing the power available for stochastic mode excitation. Here, we test this prediction using fully compressible hydrodynamical simulations of a solar-like star. We perform a series of 2.5D simulations, which consider longitudinal symmetry, using the MUSIC code spanning rotation rates from 0 to 8 $Ω_{\odot}$. We find a clear and systematic decline of acoustic mode amplitudes with increasing rotation rate. In the most rapidly rotating models, mode damping rates are also enhanced. The combined reduction in excitation and increase in damping with increasing rotation rate provide a physical explanation for the observed decrease in mode detectability in rapidly rotating solar-like stars. Our results demonstrate that rotation can significantly modify oscillation properties and must be accounted for when interpreting asteroseismic observations.