A Theoretical Framework for the Hemodynamic Role of Sarcomere Length Dynamics During the Isovolumic Phases of the Left Ventricle

Avatar
Poster
Voice is AI-generated
Connected to paperThis paper is a preprint and has not been certified by peer review

A Theoretical Framework for the Hemodynamic Role of Sarcomere Length Dynamics During the Isovolumic Phases of the Left Ventricle

Authors

KATO, S.; KISHIDA, K.; HIMENO, Y.; Amano, A.

Abstract

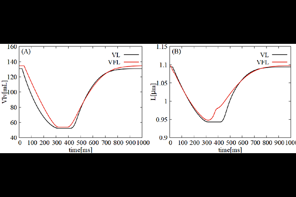
The left ventricle (LV) exhibits torsional deformation during systole, and mechanical relaxation begins during the isovolumic phase. Recent advances in imaging techniques, such as MRI, have revealed that myocardial tissue deformation and sarcomere length changes occur during the isovolumic relaxation phase, even when the chamber volume remains constant. Although such ventricular deformation during the isovolumic phase is considered important for blood ejection and filling efficiency, its mechanistic contribution to contraction and relaxation remains unresolved. In this study, we hypothesized that sarcomere length dynamics during the isovolumic phase affect the isovolumic contraction and relaxation time (IVCT and IVRT) by regulating the contraction force via the force-velocity relationship of ventricular myocytes. To investigate this hypothesis, we focused on experimentally reported differences in the relationship between sarcomere length and LV volume across the endocardial and epicardial layers, as described by Rodriguez et al. We constructed and compared two types of hemodynamic models within the same integrated framework consisting of a circulation model, a LV model, and a myocardial cell contraction model by Negroni-Lascano et al., which differ only in how sarcomere length is determined: a volume-based length model (VL model), in which sarcomere length is uniquely determined by LV volume, and a volume-force-coupled length model (VFL model), in which sarcomere length is determined by the balance between LV volume and contraction force. Simulation results showed that in the VFL model, compared to the VL model, sarcomere length changed during the isovolumic phase, leading to a decrease in contractile force and shortening of IVRT, which may contribute to improved hemodynamic efficiency. These results indicate that sarcomere length dynamics can mechanically regulate force decay during isovolumic relaxation, even under constant left ventricular volume. This study provides a theoretical framework for understanding the contributions of different layers within the LV wall to diastolic function during the isovolumic relaxation phase.

Follow Us on

0 comments

Add comment