An efficient hyperbolic equation for modelling environmental constraints in ecology
An efficient hyperbolic equation for modelling environmental constraints in ecology
Vallet, P.
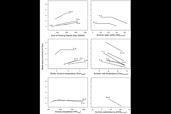
AbstractThe influence of environmental factors on the dynamics of living organisms can imply non-linear relationships. Some of them exhibit threshold effects. Hyperbolic functions effectively represent ecological processes that display threshold behaviours, such as those described by the law of the minimum, or law of the limiting factor. However, the mathematical formulation of the hyperbola is complex, which makes its use challenging and its parameters difficult to interpret. In this article, we propose an efficient mathematical formulation for the hyperbola, one in which all the parameters are independent and easily interpretable. We also provide an R script and a Python script to facilitate the implementation of this hyperbolic formulation in modelling studies. We then used this new hyperbolic function to model the influence of edaphic and climatic factors on the growth of 18 forest tree species widely distributed across Europe based on a dataset of 8,330 plots from the French National Forest Inventory. Our hyperbolic function allowed us to identify the threshold effects of summer climatic constraints on forest growth for several species. In particular, we found negative effects for soil water deficit and maximum summer temperature, although for several species these effects only appear beyond a certain level of constraint. Accounting for such threshold effects is crucial to improve our ability to understand and predict forest ecosystem responses in the context of climate change.