Responses of dairy cows following a change in housing system and social group: a living lab experiment

Avatar
Poster
Voice is AI-generated
Connected to paperThis paper is a preprint and has not been certified by peer review

Responses of dairy cows following a change in housing system and social group: a living lab experiment

Authors

Arpin, C.; Cellier, M.; Wolfe, T.; Almeida, H.; Julliot, C.; Villettaz Robichaud, M.; Diallo, A. B.; Vasseur, E.

Abstract

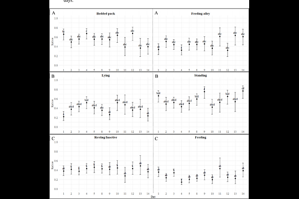
To investigate how the disturbances associated with a relocation to a bedded-pack barn, such as a housing system change, a milking system change and a social regrouping, impacts the behavior of lactating dairy cows, 38 cows from a total of 9 tie-stall or free-stall commercial farms were moved to a newly built bedded-pack barn on an enrollment basis, with a social regrouping occurring after 2 weeks. Scan sampling of video data was done to assess behavior expression in the pen, and live data was collected to assess milking reactivity and animal handling procedures. Results indicate that the cows adapted quickly to the relocation to the new housing system as there were no changes in the locations in the pen, the body positions or the behaviors of cows in time between arrival and regrouping. The social regrouping had a bigger impact with a decrease in 16% of the observed time spent lying and an increase of 9.7% of the observed time spent feeding. Cows also adapted quickly to the milking procedures with a rapid decrease in the occurrence of negative social interactions between cows at the parlor, and in needing less human-animal manipulations and less time to be brought to the parlor. The housing system of origin had a slight effect on behaviors with cows from tie-stalls spending 1.7 times more of the observed time lying than free-stall cows, and free-stall cows spending 1.6 times more of the observed time feeding than tie-stall cows. This study provides a better understanding of how dairy cows respond to disturbances and is encouraging for producers that need to make changes to their current housing system as cows were shown to be quickly adaptable to the challenges presented to them.

Follow Us on

0 comments

Add comment