Wind accretion onto planets orbiting an evolving Solar-like star and their detectability

Avatar
Poster
Voice is AI-generated
Connected to paperThis paper is a preprint and has not been certified by peer review

Wind accretion onto planets orbiting an evolving Solar-like star and their detectability

Authors

P. Padilla-López, R. F. Maldonado, J. A. Toalá, E. Tejeda, J. B. Rodríquez-González

Abstract

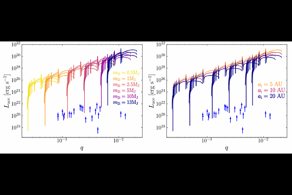
As stars evolve, they undergo significant changes in their physical properties, which can have a profound impact on the planets orbiting them. In particular, the mass lost through stellar wind may be partially accreted by orbiting planets. We present the results of 18 simulations of one-planet systems with planetary masses of 0.5, 1, 2.5, 5, 10, and 13~$\mathrm{M}_\mathrm{J}$, each at initial orbital distances of 5, 10, and 20~AU, orbiting a 2~M$_\odot$ star through its red giant branch and thermally pulsating asymptotic giant branch phases. Our results show that planets with smaller orbits and higher masses accrete more stellar wind material than their wider-orbit and lower-mass counterparts, although the total mass accreted across all simulations remains small compared to their initial planetary mass. Even for the most massive planet, 13 $\mathrm{M}_\mathrm{J}$ at 5 AU, the total mass accreted was $\sim0.56$\% of the planet's initial mass; nevertheless, we find that the accretion luminosities of the simulated planets, with the exception of one planet, exceed their expected equilibrium luminosities, suggesting that such emission could be potentially detected. This result is key for the detection of planets around AGB stars, which have no confirmed detections as of yet. We also estimated the accretion and luminosities of two detected two-planet systems over a few orbits, obtaining results consistent with the one-planet simulated systems. Additional tests without wind accretion and with stellar wind drag force showed that, while both have a negligible effect on the orbital evolution, wind accretion remains relevant for the planetary luminosity.

Follow Us on

0 comments

Add comment