Sound Mode and Scale-Dependent Growth in Two-Fluid Dynamical Dark Energy

Avatar
Poster
Voice is AI-generated
Connected to paperThis paper is a preprint and has not been certified by peer review

Sound Mode and Scale-Dependent Growth in Two-Fluid Dynamical Dark Energy

Authors

Frans van Die, Vincent Desjacques

Abstract

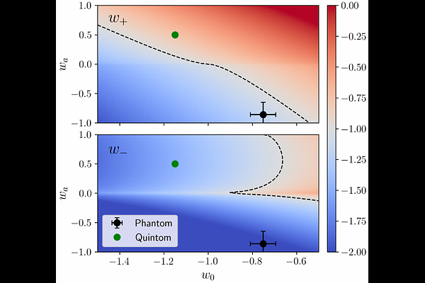
We investigate the effects of dynamical dark energy (DDE) on the growth of cosmic structure using a two-fluid model. This framework allows the dark energy equation of state to smoothly cross the phantom divide, in agreement with recent DESI results. In this effective description, DDE supports propagating perturbations that behave like sound waves. These perturbations induce a scale dependence in the growth of matter fluctuations and in halo bias, which can be exploited to test the dynamical nature of dark energy at the level of its fluctuations. For cluster-sized halos, the amplitude of the scale-dependent halo bias is comparable to that produced by massless neutrinos in $Λ$CDM. Using a Fisher forecast for a multi-tracer analysis of the power spectrum (P) and bispectrum (B) of galaxy number counts, we find that bispectrum information is essential to detect the scale dependence induced by the DDE sound mode. For a survey of volume $V\sim 10\, h^{-3}{\rm Gpc}^3$ at redshift $z=0.5 - 1$, a two-tracer P+B analysis could detect this scale dependence if the sound speeds of the dark energy fluids are in the range $c_s^2\sim 10^{-2} - 10^{-4}$. Lower sound speeds cause halos to experience a gravitational drag force through the excitations of sound waves. This effect impacts measurements of the growth rate inferred from cluster-sized halos at the 10\% level if one of the fluids has a very low sound speed $c_s^2\sim 10^{-5}$. Larger sound speeds $c_s^2 > 10^{-2}$ could be probed with optimal weighting schemes that reduce shot noise and increase the effective bias.

Follow Us on

0 comments

Add comment