New axion bounds derived from the 100-parsec Gaia DR3 white dwarf luminosity function
New axion bounds derived from the 100-parsec Gaia DR3 white dwarf luminosity function
M. L. Alberino, M. M. Miller Bertolami, M. E. Camisassa, A. Caputo, S. Torres
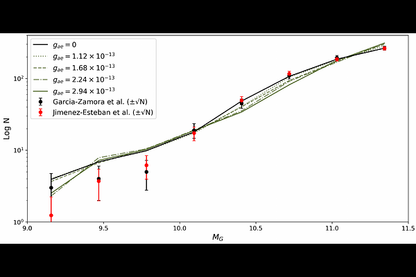
AbstractThe axion, a well-motivated hypothetical particle arising in extensions of the Standard Model, can be produced copiously within the hot, compact cores of white dwarf stars. The shape of the white dwarf luminosity function (WDLF) is a powerful tool for constraining theoretical particles that would imply an additional cooling channel in white dwarfs. In this work, and for the first time, we use the 100-parsec Gaia DR3 white dwarf sample and compare it with theoretical predictions. We have simulated synthetic populations of white dwarfs using a population synthesis code based on Monte Carlo techniques, incorporating realistic observational errors, and based on state-of-the-art white dwarf models that incorporate the anomalous cooling caused by the presence of axions. Axion bremsstrahlung emission rates were implemented using the latest theoretical calculations. We find that, for the brightest white dwarfs in the sample ($M_{\mathrm{Bol}} < 10$), the $χ^2$ statistic is largely insensitive to the assumed stellar formation rate (SFR), which is typically the dominant uncertainty in modeling the Galactic-disk WDLF. The resulting $χ^2$ analysis disfavors a sizable additional cooling contribution. This conclusion contrasts with earlier studies in which axion-electron couplings in the range $0.7 \times 10^{-13} < g_{ae} < 2.1 \times 10^{-13}$ provided mildly improved fits to the Galactic-disk WDLF. We attribute the discrepancy to simplifying assumptions in previous modeling and to the substantially improved observational quality of the 100-pc Gaia DR3 sample. We obtain the upper limit $g_{ae} < 1.68 \times 10^{-13}$ ($95\%$ C.L.), which is among the strongest available.