Seed size and source reduction during seed filling effect on quality traits of winter and spring rapeseed

Avatar
Poster
Voice is AI-generated
Connected to paperThis paper is a preprint and has not been certified by peer review

Seed size and source reduction during seed filling effect on quality traits of winter and spring rapeseed

Authors

Verdejo Araya, J. F.; Calderini, D. F.

Abstract

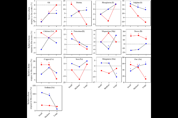
CONTEXT: Rapeseed is a globally significant oil crop, exhibiting highly plastic responses among seed yield components (seed number and weight). However, there remains a notable gap in knowing the distribution of quality traits among seed size categories and understanding how seed size and source-sink (S-S) ratio influence comprehensive seed quality traits. OBJECTIVE: This study investigated the effects of seed size and S-S ratio reduction on the quality traits of winter and spring rapeseed genotypes. METHODS: The experiments were carried out at field conditions in Valdivia, Chile, where seed yield, yield components, oil, protein, and element concentrations (P, K, S, Ca, Mg, B, Cu, Fe, Mn, Zn, and Na) were evaluated across five seed size categories; very small (< 1.4 mm), small (1.4-1.7 mm), medium (1.7-2.0 mm), large (2.0-2.36 mm), and very large (> 2.36 mm). Treatments included a control and a reduced S-S ratio (75% shading), which significantly increased seed weight (P < 0.05). RESULTS: Both genotype and seed size affected (P< 0.050) the quality traits. Larger seeds exhibited higher Mg and B concentrations, as well as lower K, Ca, Fe and Na. Shading affected seed size distribution, favouring a higher proportion of large seeds. Under the shading treatment, the small seed category reached 5% lower oil concentration, while protein seed concentration increases 6% in both genotypes. Principal component analysis highlighted the complex interaction between yield, yield components, and quality traits, since there was no clear separation between different seed size categories and S-S ratio treatments. CONCLUSION: These results provide insights into the plasticity of rapeseed quality traits, highlighting their collective impact on nutrient profiles. SIGNIFICANCE: This information is helpful for optimising cultivation practices and informing breeding programmes aimed at improving seed quality, particularly in high-yielding environments susceptible to environmental stresses.

Follow Us on

0 comments

Add comment