High Energy Astrophysical Phenomena

Survey of compact sources for pulsars and exotic objects -- I. Overview and initial discoveries

Survey of compact sources for pulsars and exot...

High Energy Astrophysical Phenomena
Avatar
Yogesh Maan
6 views
AGN Disks as Supernova Mufflers I: 3D Local Hydrodynamic Models

AGN Disks as Supernova Mufflers I: 3D Local Hy...

High Energy Astrophysical Phenomena
Avatar
librarian
7 views
Simulating the jittering-jets explosion mechanism: circum-jet rings account for observed core-collapse supernova remnant morphologies

Simulating the jittering-jets explosion mechan...

High Energy Astrophysical Phenomena
Avatar
librarian
5 views
Late-Time HST UV Detections Reveal Eruptive Mass Loss and Circumstellar Interaction in a Quarter of Stripped-Envelope Supernovae

Late-Time HST UV Detections Reveal Eruptive Ma...

High Energy Astrophysical Phenomena
Avatar
librarian
4 views
Eccentricity constraints disfavor single-single capture in nuclear star clusters as the origin of all LIGO-Virgo-KAGRA binary black holes

Eccentricity constraints disfavor single-singl...

High Energy Astrophysical Phenomena
Avatar
librarian
6 views
An Intertwined Short and Long GRB with 4-minute Separation

An Intertwined Short and Long GRB with 4-minut...

High Energy Astrophysical Phenomena
Avatar
librarian
7 views
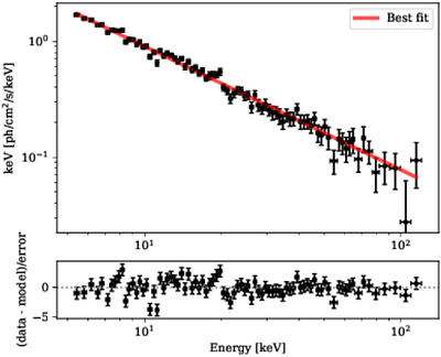
The average X-ray spectrum of the volume-complete M-, F-, G-, and K-type star sample within 10 pc of the Sun

The average X-ray spectrum of the volume-compl...

High Energy Astrophysical Phenomena
Avatar
librarian
6 views
The average X-ray spectrum of the volume-complete M-, F-, G-, and K-type star sample within 10 pc of the Sun

The average X-ray spectrum of the volume-compl...

High Energy Astrophysical Phenomena
Avatar
librarian
6 views
Can a single supernova remnant account for the gamma-ray emission of G106.3+2.7?

Can a single supernova remnant account for the...

High Energy Astrophysical Phenomena
Avatar
librarian
8 views
Similar ratios of rise timescale to decline timescale of optical light curves in common tidal disruption events

Similar ratios of rise timescale to decline ti...

High Energy Astrophysical Phenomena
Avatar
librarian
7 views
Self-Consistent Modelling of Neutrino Production in Turbulent Black Hole Coronae

Self-Consistent Modelling of Neutrino Producti...

High Energy Astrophysical Phenomena
Avatar
S. Le Bihan
10 views
The counterjet dominates the production of PeV photons from Cyg X-3

The counterjet dominates the production of PeV...

High Energy Astrophysical Phenomena
Avatar
librarian
6 views
The Environmental Effects on Inspiraling Binary Black Hole Systems in the Centers of the LMC and M31

The Environmental Effects on Inspiraling Binar...

High Energy Astrophysical Phenomena
Avatar
librarian
6 views
Constraints on the Physical Association between ICECAT1 Neutrinos and Fast Radio Bursts Using the Second CHIME/FRB Catalogue

Constraints on the Physical Association betwee...

High Energy Astrophysical Phenomena
Avatar
librarian
21 views
X-ray spectral and temporal evolution of atoll source 4U 1820-30 with AstroSat: detection of high frequency quasi-periodic oscillation

X-ray spectral and temporal evolution of atoll...

High Energy Astrophysical Phenomena
Avatar
Parijat Thakur
19 views
Jet Power Estimates of FSRQs PKS 1441+25 and Ton 599 from Broadband SED Modeling

Jet Power Estimates of FSRQs PKS 1441+25 and T...

High Energy Astrophysical Phenomena
Avatar
Hritwik Bora
22 views
Fitting the light curves of tidal disruption events with non-parabolic model

Fitting the light curves of tidal disruption e...

High Energy Astrophysical Phenomena
Avatar
Shiyan Zhong
23 views
Photon Ring Astrometry I: A Simple Spin Measurement Technique for High-Resolution Images of M87*

Photon Ring Astrometry I: A Simple Spin Measur...

High Energy Astrophysical Phenomena
Avatar
librarian
24 views
Double-Adiabatic Equations of State for Relativistic Plasmas

Double-Adiabatic Equations of State for Relati...

High Energy Astrophysical Phenomena
Avatar
librarian
18 views
Neutrino and electromagnetic signatures from Superluminous Supernovae: a case study for SN 2017egm

Neutrino and electromagnetic signatures from S...

High Energy Astrophysical Phenomena
Avatar
librarian
22 views
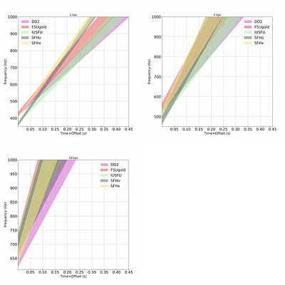
Binary neutron star mergers with a subsolar mass star

Binary neutron star mergers with a subsolar ma...

High Energy Astrophysical Phenomena
Avatar
librarian
26 views
The background gas humming and multi-messenger transients of stalled supermassive black hole binaries

The background gas humming and multi-messenger...

High Energy Astrophysical Phenomena
Avatar
Pau Amaro Seoane
17 views
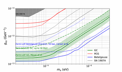
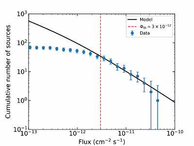
The Diffuse Gamma-ray Sky of a Milky Way Analogue: Local Diversity and Global Constraints

The Diffuse Gamma-ray Sky of a Milky Way Analo...

High Energy Astrophysical Phenomena
Avatar
librarian
16 views
The 'Forgotten' Neutrons: Implications for the Propagation of High-Energy Cosmic Rays in Magnetized Astrophysical and Cosmological Structures

The 'Forgotten' Neutrons: Implications for the...

High Energy Astrophysical Phenomena
Avatar
librarian
18 views
RRAT J1541+4703: A Rotating Radio Transient Exhibiting Normal Pulsar States

RRAT J1541+4703: A Rotating Radio Transient Ex...

High Energy Astrophysical Phenomena
Avatar
librarian
15 views
Multi-mission Investigation of X-ray Superorbital Modulation in the Supergiant High Mass X-ray Binary 4U 1538-52

Multi-mission Investigation of X-ray Superorbi...

High Energy Astrophysical Phenomena
Avatar
librarian
15 views
Simultaneous Multi-band Optical Follow-up Observations of a Gamma-Ray Flare in BL Lacertae

Simultaneous Multi-band Optical Follow-up Obse...

High Energy Astrophysical Phenomena
Avatar
D. R. Xiong
14 views
Derivation of the injection spectrum of positrons and electrons from Geminga and Monogem

Derivation of the injection spectrum of positr...

High Energy Astrophysical Phenomena
Avatar
Qian Zhong
17 views
Radiation-ionization hydrodynamic simulations of AGN line-driven winds lead to transient shielding and BAL/UFO signatures

Radiation-ionization hydrodynamic simulations ...

High Energy Astrophysical Phenomena
Avatar
librarian
22 views
Near-Infrared and Optical Observations of SN 2024rbc: The First Early Detection of CO and Dust in a Type Ib Supernova

Near-Infrared and Optical Observations of SN 2...

High Energy Astrophysical Phenomena
Avatar
librarian
18 views
Core-Collapse Supernovae and their Gravitational Wave Signals: The Status of Theory and Modeling

Core-Collapse Supernovae and their Gravitation...

High Energy Astrophysical Phenomena
Avatar
Bernhard Müller
20 views
Investigating peculiar prompt emission properties of the multi-Peaked GRB 250129A

Investigating peculiar prompt emission propert...

High Energy Astrophysical Phenomena
Avatar
librarian
19 views