Particle-acceleration mechanisms in multispecies relativistic plasmas

Avatar
Poster
Voice is AI-generated
Connected to paperThis paper is a preprint and has not been certified by peer review

Particle-acceleration mechanisms in multispecies relativistic plasmas

Authors

Claudio Meringolo, Mario Imbrogno, Alejandro Cruz-Osorio, Sergio Servidio, Luciano Rezzolla

Abstract

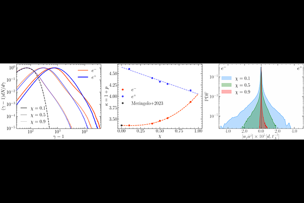
While collisionless plasmas are ubiquitously present near astrophysical compact objects, the impact that their composition has on the high-energy emission is presently unknown. We present the first investigation of particle-acceleration mechanisms in kinetic, special-relativistic turbulence, modeling electrons, positrons, and protons with realistic mass ratios. Under global charge neutrality, we introduce a positron fraction and cover regimes ranging from an electron-proton plasma over to pair-dominated plasmas. Using a novel generalized Ohm's law for multispecies relativistic plasmas, we analyze particle acceleration due to electric fields in reconnection events that self-consistently emerge from turbulence. We demonstrate, for the first time, that energization occurs at reconnection current sheets driven by the divergence of the relativistic pressure tensor, which locally aligns with the particle velocity and leads to an efficient energy transfer. The imbalance between electrons and positrons systematically favors electron acceleration, highlighting the necessity of realistic multispecies modeling to capture the nonthermal contributions in accretion flows and relativistic jets from black holes.

Follow Us on

0 comments

Add comment