ECLAIRs: the SVOM high-energy transient trigger camera

Avatar
Poster
Voice is AI-generated
Connected to paperThis paper is a preprint and has not been certified by peer review

ECLAIRs: the SVOM high-energy transient trigger camera

Authors

O. Godet, J. -L. Atteia, S. Schanne, C. Lachaud, A. Goldwurm, F. Piron, Ph. Guillemot, C. Amoros, W. Bertoli, L. Bouchet, M. C. Charmeau, F. Chteau, B. Cordier, N. Dagoneau, F. Daly, J. -P. Dezalay, J. Galezzi, A. Givaudan, A. Gros, M. Karakac, K. Lacombe, H. Leprovost, S. Maestre, K. Mercier, H. Pasquier, L. Perraud, R. Pons, D. Rambaud, O. Simonella, T. Tourrette, H. Triou, V. Waegebaert, P. Bacon, T. Barlyaeva, N. Bellemont, M. -G. Bernardini, M. Brunet, F. Cangemi, C. Cavet, A. Coleiro, D. Corre, F. Daigne, A. Foisseau, O. Gevin, S. Guillot, U. Jacob, F. Lacreu, S. Le Stum, P. Maeght, T. Maiolino, A. Maolo, G. Tcherniatinksy, J. Wang, H. Yang

Abstract

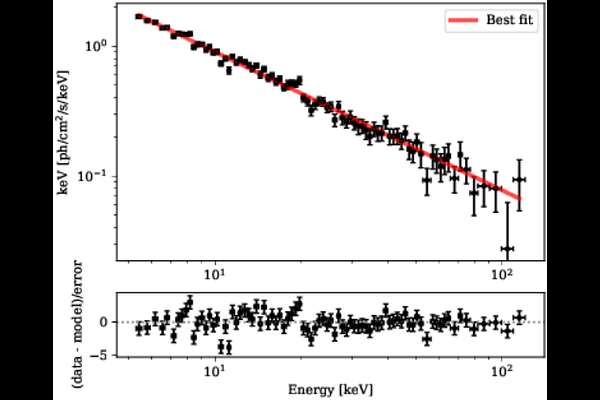
The core instrument of the SVOM Gamma-ray burst mission launched in June 2024 is the 4-150 keV 2-D coded mask camera ECLAIRs responsible for the autonomous trigger and localization of transient events within its field of view. The flight model of ECLAIRs has been built by several French labs (IRAP, CEA, APC) under the supervision of the French Space Agency (CNES), while APC, LUPM and IAP built a suite of data reduction and analysis software. This paper outlines the main science goals of ECLAIRs and describes the different instrument sub-systems and their main characteristics. The paper then discusses the instrument configuration and operation as well as the main in-flight measured performances. Finally, the paper summarizes the science performance of ECLAIRs up to March 31, 2025.

Follow Us on

0 comments

Add comment