Triggering physical plasmoids in forming current sheets: conditions and diagnostics

Avatar
Poster
Voice is AI-generated
Connected to paperThis paper is a preprint and has not been certified by peer review

Triggering physical plasmoids in forming current sheets: conditions and diagnostics

Authors

Hubert Baty

Abstract

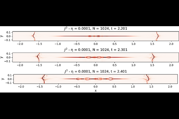
We investigate the conditions for triggering the plasmoid instability in a dynamically forming current sheet in the resistive magnetohydrodynamic framework, using a pseudo-spectral code applied to the Orszag-Tang vortex at Lundquist number $S \sim 10^5$. Following García Morillo \& Alexakis (2025), we use the power spectrum of the current density $E_J(k)$, complemented by the vorticity spectrum $E_ω(k)$, to assess the convergence of our simulations, and show that this diagnostic remains valid even in the presence of physical plasmoids, allowing us to unambiguously distinguish them from spurious ones. We then show that physical plasmoids can be triggered in a well-resolved spectral simulation when three conditions are simultaneously met: a perturbation applied near the time of maximum current density, with amplitude above a critical threshold $\varepsilon_c \sim 10^{-5}$ for our numerical scheme, and with spectral content containing the unstable wavenumbers. These conditions are confirmed using continuous noise injection, which yields similar results at amplitudes one to two orders of magnitude lower. The resulting growth rates and plasmoid numbers are in good agreement with the theory of \citet{Comisso2017}. These results resolve the apparent paradox raised by García Morillo \& Alexakis (2025) and also clarify the role of numerical noise in the triggering of the plasmoid instability.

Follow Us on

0 comments

Add comment