Evolution of Time-Lags of Swift J1727.8-1613 during the Rising Phase of Its Discovery Outburst

Avatar
Poster
Voice is AI-generated
Connected to paperThis paper is a preprint and has not been certified by peer review

Evolution of Time-Lags of Swift J1727.8-1613 during the Rising Phase of Its Discovery Outburst

Authors

Sujoy Kumar Nath, Dipak Debnath, Hsiang-Kuang Chang

Abstract

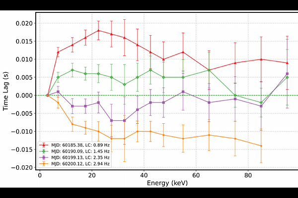
We investigate the accretion dynamics of the black hole X-ray binary Swift J1727.8-1613 during its $2023-2024$ discovery outburst that lasted for $\sim10$ months. Insight-HXMT monitored the rising phase of the outburst of Swift J1727.8-1613 roughly continuously from 2023 Aug 25 to 2023 Oct 05. Strong signatures of type-C Quasi-Periodic Oscillations (QPOs) are observed during this phase of the outburst. In our recent paper, nature of the QPOs are studied with the propagating oscillatory shock (POS) model. In this paper, we report on the observation of both positive (or hard) and negative (or soft) time-lags in the $4-10$ keV (LE), $10-30$ keV (ME), and $30 -150$ keV (HE) bands, computed with respect to the $2-4$ keV reference band. We detect a clear transition from hard to soft lags as the outburst evolves. We show the evolution of QPOs and associated time-lags between different X-ray energy bands, correlated with changes in the QPO frequency, spectral state, and the size of the Comptonizing region. Our analysis reveals strong anti-correlations between the time-lags and both QPO frequency and photon index, and a strong positive correlation with the shock location. These evolving lag characteristics and their correlations provide crucial insights into the changing accretion geometry and the interplay of radiative processes, further supporting dynamic models like the POS in explaining the coupled spectro-temporal evolution in black hole X-ray binaries.

Follow Us on

0 comments

Add comment