GRB 241030A: a bright afterglow challenging forward shock emission

Avatar
Poster
Voice is AI-generated
Connected to paperThis paper is a preprint and has not been certified by peer review

GRB 241030A: a bright afterglow challenging forward shock emission

Authors

J. -G. Ducoin, C. Pellouin, V. Aivazyan, D. Akl, F. Alvarez, C. Andrade, C. Angulo, S. Antier, J. -L. Atteia, S. Basa, R. L. Becerra, Z. Benkhaldoun, E. Bissaldi, A. Breeveld, E. de. Bruin, E. Burns, N. R. Butler, M. W. Coughlin, F. Daigne, T. Dietrich, D. Dornic, C. Douzet, T. du Laz, P. -A. Duverne, H. B. Eggenstein, E. Elhosseiny, A. Esamdin, P. A. Evans, J. F. Agüí Fernández, M. Ferro, F. Fortin, M. Freeberg, L. García-García, R. Gill, N. Globus, N. Guessoum, G. M. Hamed, P. Hello, A. Holzmann Airasca, D. F. Hu, T. Hussenot-Desenonges, R. Inasaridze, A. Iskandar, S. Q. Jiang, C. C. Jin, A. Kaeouach, S. Karpov, N. J. Klingler, A. Klotz, N. Kochiashvili, H. Koehn, R. Kneip, T. Kvernadze, A. Le Calloch, W. H. Lee, A. Lekic, Y. F. Liang, C. Limonta, J. Liu, K. Ocelotl. C. López, D. López-Cámara, R. H. Mabrouk, F. Magnani, J. Mao, M. Mašek, E. Moreno Méndez, B. M. Mihov, M. Molham, K. Noysena, M. Odeh, N. Omodei, H. Peng, M. Pereyra, M. Pillas, R. Pillera, T. Pradier, Y. Rajabov, N. A. Rakotondrainibe, B. Schneider, M. Serrau, L. Slavcheva-Mihova, O. Sokoliuk, H. Sun, A. Takey, M. Tanasan, K. S. Tinyanont, D. Turpin, A. de Ugarte Postigo, B. T. Wang, L. T. Wang, X. F. Wang, Z. M. Wang, A. M. Watson, H. Z. Wu, Q. Y. Wu, J. J. Xu, Y. S. Yan, H. N. Yang, W. Yuan, H. S. Zhao

Abstract

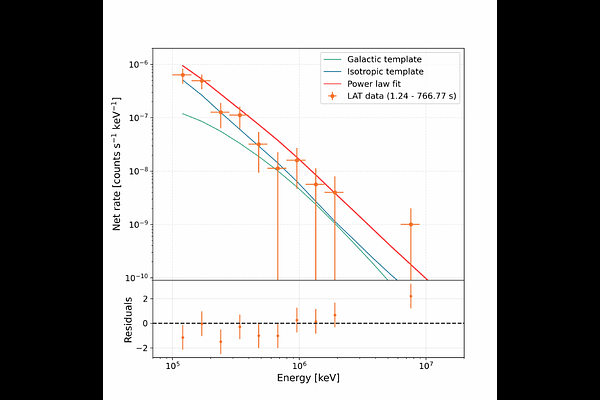
Gamma-Ray Burst GRB 241030A (z = 1.411) exhibited a bright afterglow (similar to GRB 221009A), detected across gamma-ray, X-ray, UV, and optical bands, providing a probe of GRB afterglow physics. We compiled multi-wavelength observations spanning from a minute to a week after the prompt emission, processing the data through a unified photometry pipeline. We analysed the observations both analytically and using Bayesian inference with two independent models. Our models assume that the afterglow emission arises from the strong forward shock of a laterally structured jet, with possible contributions from synchrotron self-Compton (SSC) scatterings. Our models reproduce X-ray to optical data, favouring a jet propagating into a constant-density interstellar medium, with a viewing angle within the jet core. However, both analyses require parameter values that are extreme compared to expectations from standard theory. In particular, our results imply extremely energetic jets despite regular prompt energy, leading to a very inefficient prompt emission. Furthermore, the jets are inefficient at accelerating particles, with low electron and magnetic energy fractions, leading to significant SSC emission. Our analyses indicate that the jets have large opening angles and propagate in high-density media. If the afterglow is indeed powered by radiation emitted behind a strong forward shock, our results place GRB 241030A within a sub-class of GRBs characterised by extreme kinetic energies, large jet opening angles, and very low prompt emission efficiencies, with strong SSC radiation. These predictions are difficult to reconcile with typical expectations from other GRBs. We therefore suggest that the afterglow of GRB 241030A is not solely powered by forward shock emission.

Follow Us on

0 comments

Add comment