X-ray spectral and temporal evolution of atoll source 4U 1820-30 with AstroSat: detection of high frequency quasi-periodic oscillation

Avatar
Poster
Voice is AI-generated
Connected to paperThis paper is a preprint and has not been certified by peer review

X-ray spectral and temporal evolution of atoll source 4U 1820-30 with AstroSat: detection of high frequency quasi-periodic oscillation

Authors

Subhasish Das, Vivek Kumar Agrawal, Parijat Thakur, G. C. Dewangan, Raj Kumar, Pragati Sahu, Vineet Kumar Mannaday

Abstract

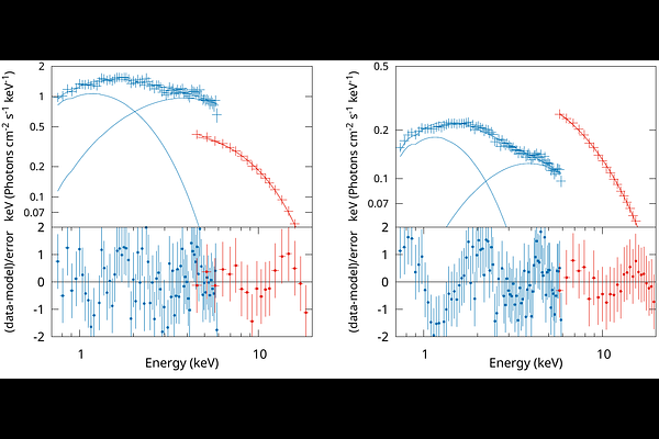
AstroSat/LAXPC and SXT observed the persistent neutron star low-mass X-ray binary 4U 1820-30 between 2016 and 2022. During these observations, the hardness-intensity diagram (HID) and color-color diagram (CCD) indicated that the source was in the banana state. We divided the CCD into 11 segments for spectral and timing analyses. For each segment in the CCD, we modeled the spectral data using two distinct approaches over the 0.7-20.0 keV band. A combination of a multi-color-disk component with an inner disk temperature of around 0.6 keV and Comptonized emission from the boundary layer (BL)/ hot corona provided the best description of the X-ray spectral data of this source. The truncation radius was found to be in the range of $\sim$ 19-40 km. The Comptonized component has an optical depth in the range of $\sim 7 - 13$ with electron temperature in the range of $\sim 2.5 - 3.8$ keV. The optical depth of the corona varies significantly along the position on the CCD, while $\sim$ 80\% of the X-ray flux comes from the Comptonized component. We discuss possible physical scenarios to explain the relationship between the spectral evolution and motion of the source along the CCD. The timing analysis revealed kHz QPOs peaks at $\sim 710$ Hz and $\sim 740$ Hz in the lower left banana branch. An energy-dependent study indicates that these QPOs are stronger in the high-energy band.

Follow Us on

0 comments

Add comment