Constraints on neutrino emission and hadronic flux from 1LHAASO catalog $γ$-ray sources

Avatar
Poster
Voice is AI-generated
Connected to paperThis paper is a preprint and has not been certified by peer review

Constraints on neutrino emission and hadronic flux from 1LHAASO catalog $γ$-ray sources

Authors

Xue-Rui Ouyang, Yun-Feng Liang, Shi-Long Chen, Rong-Lan Li, Ming-Xuan Lu

Abstract

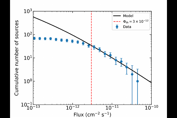
IceCube has detected neutrino emission from the Galactic Plane (GP) at a significance of $4.5σ$, though its origin remains uncertain. Utilizing ten years of IceCube muon-track data, we investigate potential correlations between the GP neutrinos and $γ$-ray sources in the first LHAASO catalog (1LHAASO). To avoid issues caused by spectral extrapolation, this analysis focuses on sources detected by the Water Cherenkov Detector Array (WCDA). We employ an unbinned likelihood analysis to search for neutrino emission and constrain the hadronic $γ$-ray component of these sources. Neither single-source searches nor stacking analyses reveal significant neutrino signals. The stacking analysis indicates that the 1LHAASO WCDA population contributes at most $\sim$20\% to the diffuse GP neutrino flux measured by IceCube. The total hadronic contribution to the cumulative $γ$-ray emission from all WCDA sources is constrained to be at most $\sim$$60\%$, suggesting a predominantly leptonic origin for the $γ$-ray emission from the LHAASO source population. Even accounting for unresolved sources below the detection threshold, we estimate the total neutrino flux from all discrete sources (resolved plus unresolved) reaches at most about 40\% of the observed GP neutrino flux. These results support that the bulk of the GP neutrino emission is mainly from truly diffuse processes, i.e., cosmic-ray interactions with the interstellar medium, rather than from unresolved point sources.

Follow Us on

0 comments

Add comment