Isentropic hybrid stars in the Nambu-Jona-Lasinio model: effects of neutrino trapping

Avatar
Poster
Voice is AI-generated
Connected to paperThis paper is a preprint and has not been certified by peer review

Isentropic hybrid stars in the Nambu-Jona-Lasinio model: effects of neutrino trapping

Authors

Andrea Sabatucci, Armen Sedrakian

Abstract

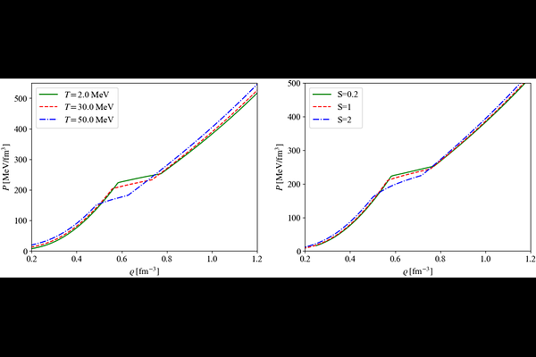
Binary neutron star mergers and proto-neutron stars provide unique environments where dense matter is hot, lepton rich, and potentially undergoes a transition from hadronic to deconfined quark matter. We investigate the thermodynamics and stellar properties of hybrid matter under such conditions. The hadronic phase is described within a covariant density functional framework, while the quark phase is modeled using a Nambu-Jona-Lasinio (NJL) model that includes repulsive vector interactions, the axial $U_A(1)$-breaking 't Hooft determinant interaction, and two-flavor color-superconducting (2SC) pairing. The phase transition between hadronic and quark matter is constructed using a mixed-phase prescription that enforces baryon and lepton number conservation, allowing us to follow thermodynamic trajectories at fixed entropy per baryon and fixed lepton fraction. We analyze the phase structure of dense matter at finite temperature and study the composition of the hadronic, mixed, and quark phases in both neutrino-trapped and neutrino-free regimes. Our results show that neutrino trapping significantly modifies the particle composition and shifts the onset of deconfinement to higher densities. Using the resulting equations of state, we compute static stellar configurations and examine the influence of temperature and lepton content on the mass-radius relation of hybrid stars. Hot, neutrino-rich configurations are found to have larger radii and slightly higher maximum masses than their cold counterparts.

Follow Us on

0 comments

Add comment