The Axion-Photon Mixing and the Extragalactic Magnetic Background: Plateau Regimes, Resonances, and Non-Gaussian Boosts
The Axion-Photon Mixing and the Extragalactic Magnetic Background: Plateau Regimes, Resonances, and Non-Gaussian Boosts
Andrea Addazi, Yi-Fu Cai, Salvatore Capozziello, Qingyu Gan, Gaetano Lambiase
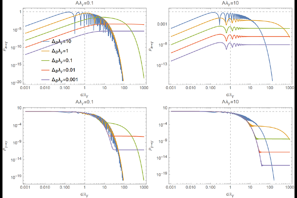
AbstractWe present an analytical treatment of Axion-Like-Particle (ALP)--photon mixing with extragalactic background light (EBL) attenuation for constant, Gaussian-stochastic, and non-Gaussian magnetic field configurations--with direct implications for Very High Energy (VHE) gamma-ray observations such as LHAASO, HAWC, and CTA experiments. For constant fields, we derive exact probabilities and identify a perturbative plateau regime where photon survival scales as quartic order of magnetic field, isolating the four-point magnetic correlation as a sensitive probe of non-Gaussianity. For Gaussian stochastic fields, we obtain--for the first time--analytical formulas for non-exponential-decay components in the strong-attenuation regime. Contrary to the widely used domain-like model, photon survival is suppressed by 4-6 orders of magnitude, while both conversion and survival probabilities exhibit distinct multi-peak structures from mass-equal resonance, stochastic resonance, and EBL attenuation. Extending to non-Gaussian fields, we show that non-Gaussianity can enhance photon survival by several orders of magnitude relative to the Gaussian case, potentially explaining the unexpectedly VHE photon event observed by LHAASO. Our results demonstrate that stochastic magnetic fields cannot be reduced to domain-like coherence without losing essential physics, and that VHE gamma-ray spectra encode observable information about both the power spectrum and non-Gaussian structure of intergalactic magnetic fields--critical as next-generation observatories push toward PeV sensitivities.