The impact of the eROSITA bubbles on Galactic cosmic-ray transport

Avatar
Poster
Voice is AI-generated
Connected to paperThis paper is a preprint and has not been certified by peer review

The impact of the eROSITA bubbles on Galactic cosmic-ray transport

Authors

Benedikt Schroer

Abstract

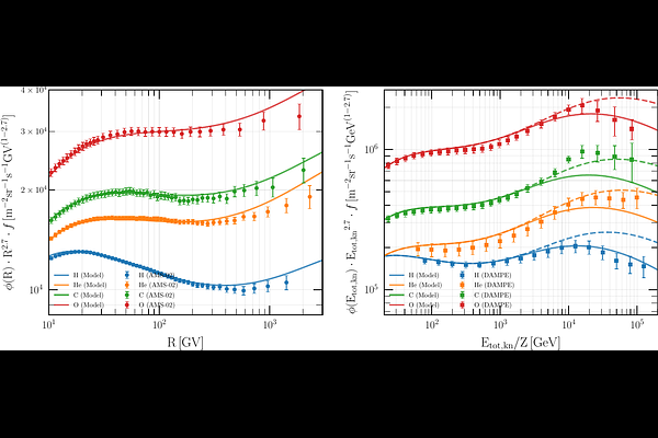
We propose that the observed spectral hardening in Galactic cosmic ray fluxes is governed by macroscopic Galactic outflows, such as the eROSITA bubbles, rather than microphysical variations in their scattering properties. Employing a phenomenological transport model, we show that an advective outflow boundary naturally reproduces the $300\,$GV hardening in secondary-to-primary ratios. Global fits to precision AMS-02 data yield an effective local inner halo boundary of $\sim 5\,$kpc and an outflow speed of $\sim 360\,$km/s, in striking agreement with independent multi-wavelength kinematic constraints of the eROSITA outflows. This interpretation provides a testable alternative to breaks in the effective diffusion coefficient, without increasing the number of free parameters.

Follow Us on

0 comments

Add comment